- A+
碳-碳键的构筑是现代合成化学的重要研究方向。虽然过渡金属催化的官能团化已被证明是一种强有力的转化策略,但C(sp³)-C(sp³)键的构建仍然是一个突出的挑战。近几十年来,光催化已成为合成化学中的一种重要策略。一些商用光催化剂,包括过渡金属络合物、多金属氧酸盐、有机染料和铀酰(VI),已经被充分研究用于构建复杂的有机分子。 金属催化剂的氧化态是设计新型催化剂的重要考虑因素。尽管铀光催化剂的研究已有半个世纪的历史,并且铀表现出从+I到+VI的多重氧化态,但铀光催化剂在合成化学中的应用还处于起步阶段,六价铀酰(VI)仍然是铀化学中唯一可行的光催化剂。铀光催化剂的开发不仅能拓宽在有机合成方向上的应用,而且对核废料的优化处理,将其转化为有价值的材料,均具有重要意义。 近日,南京大学朱从青教授和清华大学李隽教授合作,首次开发了一类基于四价铀烷氧基配合物的光催化剂,发现了铀基光催化剂的新型反应模式,在可见光照射下,实现C(sp³)-C(sp³)键的断裂和重构。
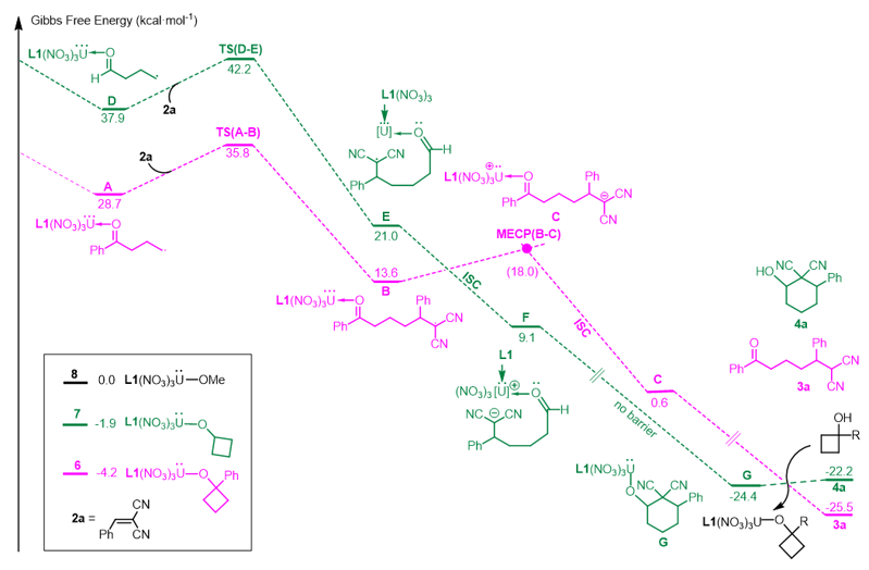
该研究中,作者发现1-Ph与2a在六水合硝酸铀酰催化下可以34%的核磁产率得到化合物3a。配体L1可以显著地加速反应,以89%的核磁产率得到产物3a。其他常用的光催化剂,如Ru(bpy)3Cl2·6H2O,[Ru(bpz)3]PF6,Ir(ppy)2(dtbbpy)PF6,TBADT,4CzIPN和EosinY不能很好地催化该反应的进行。在加入配体L1的条件下,1-H作为反应物以92%的产率生成环加成产物4a。为研究反应机理,作者研究了六水合硝酸铀酰与醇的反应,成功分离得到一系列四价铀烷氧基配合物6-9,并对它们进行了晶体结构和磁性的表征。有趣的是,配合物8和9都能有效催化1-Ph或1-H与2a的反应,以较好的产率得到产物3a或4a,表明U(IV)烷氧基物种在该体系中充当有效的光催化剂。 在优化的条件下,使用U(IV)配合物8作为光催化剂探索了反应的底物范围。该反应条件温和,底物商业可得,操作简单且不需要任何额外的添加剂。底物的范围较广,不同环张力大小的醇、含有杂原子环醇、螺环醇、链状仲醇和叔醇在该体系中都能很好地兼容,缺电子烯烃上各种官能团也能很好地兼容,并且炔烃也能作为合适的受体。 通过DFT研究计算,揭示了1-Ph或1-H与2a的C(sp3)-C(sp3)键偶联反应中的关键步骤。配合物6和7分别被激发和弛豫到它们的L0f3p1(Q1) LMCT态A或D,产生的末端碳自由基进攻2a,通过TS(A-B)或TS(D-E)形成B或E。随后,末端碳自由基接近U中心,通过能垒为4.4 kcal•mol-1最小能量交叉点(MECP(B-C))直接发生分子内的电子转移并质子化形成产物3a;或经历近乎无能垒的分子内的电子转移过程,随后通过F到G无能量阻碍的关环过程形成产物4a。在整个催化循环中的这些低势垒表明每个步骤容易发生。 该项工作开发了首例U(IV)光催化剂,拓展了铀配合物作为光催化剂的种类,不仅增强了铀基配合物在合成化学中的应用潜能,也为核废料(特别是贫铀)的优化利用提供了新的方式。 论文信息 Unprecedented Tetravalent Uranium Photocatalysts for Efficient C(sp3)─C(sp3) Bond Cleavage and Formation Xingxing Gong, Lian-Wei Ye, Zong-Chang Han, Yue Zhao, Jin Xie, Han-Shi Hu, Jun Li, Congqing Zhu Angewandte Chemie International Edition DOI: 10.1002/anie.202502634




目前评论: