- A+
分享一篇最近发表在Biomacromolecules上的文章,题目为Understanding Biases in Liquid−Liquid Phase Separation: Investigating Amino Acid Enrichments in Phase-Separating Proteins toward Peptide Design。这篇文章的通讯作者是来自葡萄牙新里斯本大学的Ana S. Pina教授。
液液相分离(LLPS) 是细胞内形成无膜细胞器的关键机制,主要由固有无序蛋白/区域 (IDPs/IDRs) 驱动。为了解释IDPs/IDRs如何驱动LLPS,学界提出了 “stickers-and-spacers” 模型,其中stickers是介导关键相互作用的氨基酸残基,spacers是小侧链的氨基酸来保证构象柔性,该模型强调,多价相互作用和序列模式(stickers与spacers的排列方式)是决定相分离行为的关键。
尽管“stickers-and-spacers” 模型非常成功,但其主要在朊病毒样RNA 结合蛋白中得到验证,这种研究对象的局限性导致该模型普适性仍然存疑,也限制了人们对LLPS的理解。在本文中,作者系统地分析了来自不同功能类别的178个相分离蛋白,旨在揭示超越RNA结合蛋白的、更普适的LLPS序列规律,并通过设计合成来验证规律的可靠性(图1)。

图1. 本文工作示意图。(1) 对相分离蛋白进行分析,以识别和表征重要肽基序;(2) 数据驱动LLPS肽的设计;(3) 湿实验验证
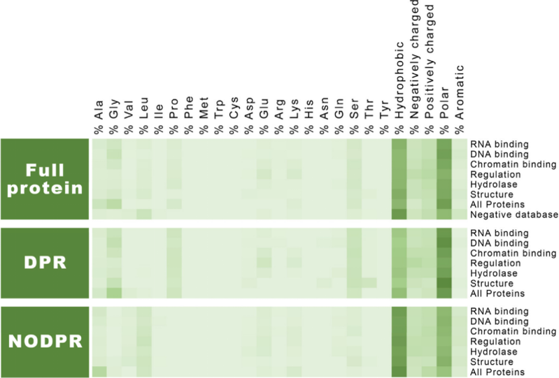
作者首先使用LLPSDB 和 PhaSePro 数据库,筛选出 178个已验证的相分离蛋白 (PhSePs),并按功能分类,包括RNA 结合、DNA 结合、染色质结合、调控、水解酶和结构蛋白。为了确保有效性,作者还创建了一个负对照数据库,包含 208 种发生相分离概率低于 20%的蛋白质 (non-PhSePs)。作者使用 FuzDrop 工具对PhSePs中的促液滴生成区域 (DPRs) 和非促液滴生成区域 (NODPRs) 进行了分析。相比于Full protein和NODPRs,DPRs中Gly、Ser、Pro和Ala都明显增多,并且DPRs中极性氨基酸的比例增多,而疏水性和芳香性残基的比例减少(图2)。作者还用CIDER server分析了序列的参数,这些参数包括FCR(带电氨基酸比例)、NCPR(平均残基静电荷)、κ(电荷分布情况)、hydropathy(疏水性)和促无序残基比例。其中FCR、NCPR在DPR和NODPR中无差异,但κ有明显差异,DPR中的κ值更高,与固有无序蛋白(IDPs) 数据集类似,表面电荷倾向于形成聚集 (cluster)。另外,疏水性和促无序残基比例DPR和NODPR也有较大差异,DPR的参数与IDP的参数更类似。

图2. 氨基酸富集情况。Full protein:包含PhSePs和 non-PhSePs数据库;DPR和NODPRs:PhSePs数据库
作者随后分析了基序频率,NODPR 区域的残基呈现出显著的随机分布,相比之下,DPR 区域则倾向于表现出明显更一致和丰富的模式。作者计算了长度为3至6个氨基酸的全部肽基序列 (Motif),并计算了它们在DPR中的出现次数 (Presence) 和出现频率 (总出现次数);同时作者也在负对照数据集中重复了同样的过程。作者通过一个组合评分 (CF, 0<CF<1) 来评估Motif相关性,包含了同等权重的PF(presence in DPRs of PhSePs/presence in non-PhSePs)和FF(frequency in DPRs of PhSePs/frequency in non-PhSePs)值。CF值大于0.2的Motif被认为是相关性高的Motif,作者一共发现了129个(图3C)。
129 个Motif中,三肽占 2%,四肽占 54%,五肽占 31%,六肽占 13%(图 3B),表明四肽可能为LLPS的最基本单元。根据平均 PF 和 FF 值,四肽出现的频率最高,其次是三肽和五肽。六肽Motif的Presence较低,但是Frequency较高,表面在某些序列中出现了多次重复(图3F)。从Motif中可以发现,其中存在着许多同源重复氨基酸如QQQQ、PPPP和GGGG,这些都是IDP内低复杂度区域的特征,表明它们在增强相分离所需的灵活性和动态性方面起着关键作用。其他的特点例如,Arg总是与Gly相伴出现,如RGGF、GGRS、GRGGY 和 GGGRGG;His总是与Gln和Pro一起出现如HHP、HQQQ;也存在纯负电Motif如DDED、DEDD。这些反复出现的组合可能在促进蛋白质间相互作用起到了关键作用。虽然大多数Motif在前人工作中有报道,本文章发现了一些新的Motif包括HHP, QPN, PAPA, AAPA, SAPA, GAPG, GPGS, QQPP, QGPG, PSGP, PPQG, PPSS, SSDS, SSAP, DSSS, DDED, 和 DEDD。

图3. A) Presence和Frequency的示意图;B) 129个发现的肽基序的长度分布;C) 129个肽基序;D) 基序在PhSePs中存在(Presence)的比例;E) 肽基序CF值的分布;F) 肽基序Presence和Highest frequency分布
作者随后探究了LLPS相关基序是否具有蛋白家族特异性。不同家族对基序长度的偏好不同。例如,RNA/DNA结合蛋白偏好更长的五/六肽,染色质结合蛋白则更偏好三/四肽,而调节蛋白则倾向于中等长度的四肽和五肽(图4A)。并且不同家族的基序在存在性和频率上展现出独特的模式,例如RNA结合蛋白富含 RG/RGG Motif 和 YGG/FGG Motif;DNA结合蛋白富含 YSPTSPSY衍生Motif和 Ser/Gly-rich Motif;染色质结合蛋白富含带正电的残基Motif,利于与带负电的DNA/组蛋白相互作用;调控蛋白富含 Gln-rich、Gly-rich 和 Pro-rich Motif,与转录激活域相关;水解酶Motif中含有催化残基,暗示LLPS与酶活性的潜在关联;结构蛋白中则富含 Val/Pro-rich Motif,与弹性蛋白样多肽高度相似,负责弹性和相变。

图4. 不同蛋白家族的motif情况
相分离是由蛋白中多个LLPS-prone Motif协同工作导致的,因此作者设想将那些在天然蛋白中经常一起出现的基序组合起来,设计成短肽,应该也能赋予其LLPS能力。作者首先从129个Motif中,选出所有可能的3个一组的组合,例如组合(Motif A, Motif B, Motif C),随后计算它们共同出现的频率,最终分数FS越高表明三者越容易共同出现。最后排列组合,生成了平均长度为12个氨基酸的短肽序列库。随后再用CIDER工具计算这些设计肽的物理化学参数,进一步筛选出序列特征最接近天然IDRs的肽段,形成最终的候选肽库(图5,表1)。

图5. LLPS肽设计示意图
表1. 设计得到的短肽序列

随后作者实验上合成了这些短肽,并验证了它们形成液滴的能力,结果表明所有设计的肽段在1-10 mg/mL浓度下均能形成液滴;FRAP实验表明所有液滴均具有液体特性(图6),但恢复百分比差异显著:高FS分数肽段恢复较慢,表明液滴内部相互作用更强,网络更稳定。低FS分数肽段恢复更快,表明液滴流动性更好,分子交换更迅速。含Pro的肽段恢复率普遍更高,提示Pro可能通过引入扭结结构增强液滴流动性。

图6. LLPS肽FRAP实验
总的来说,这篇文章揭示了与LLPS 相关的序列具有复杂的结构,其中包括已知的和之前未被识别的模式,并提出了一种可推广的肽设计框架,可实现LLPS肽的设计。
作者:ZHS
DOI: 10.1021/acs.biomac.4c00224
Link: https://doi.org/10.1021/acs.biomac.4c00224

目前评论: