- A+
分享一篇发表在Nat. Metab.上的文章,题目为“In vivo itaconate tracing reveals degradation pathway and turnover kinetics”,通讯作者是来自德国布伦瑞克工业大学Thekla Cordes教授,还有来自美国索尔克生物研究所的Christian M. Metallo教授,他们都主要研究细胞代谢。这篇文章中作者揭示了衣康酸在体内的降解和周转动力学。

衣康酸是一种免疫调节代谢物。目前,基于衣康酸的消炎策略正在研究中。但是,目前人们对衣康酸的循环周转率并不了解。这篇文章中作者用13C衣康酸在小鼠体内进行追踪,证明在血浆中衣康酸迅速地通过尿液排出,以及促进肝脏、肾脏的TCA循环。此外,衣康酸转化为乙酰辅酶A、中康酸和柠苹酸,并影响支链氨基酸代谢和琥珀酸水平。总之,这篇文章说明衣康酸在活体内发生快速分解代谢。
作者构建了衣康酸灌注模型,发现灌注衣康酸后可以显著升高TCA循环中间体的血浆浓度,灌注的衣康酸可以在一小时内被清除。

伴随着衣康酸灌注,琥珀酸、中康酸水平与衣康酸水平密切相关,而甲基苹果酸、支链氨基酸则表现出积累,表明衣康酸诱导MUT和SDH抑制。
由于衣康酸可以被快速清除,因此作者猜想它可能被组织吸收并进一步代谢。作者用13C衣康酸追踪的方式研究了衣康酸命运。作者发现灌注后主要在尿液中发现衣康酸,说明它主要通过肾脏循环。此外还在TCA循环中间体中发现了标记,说明衣康酸被用于线粒体代谢。总之,结果说明血液中的衣康酸通过肾脏代谢,此外还通过肝脏肾脏中的线粒体代谢。

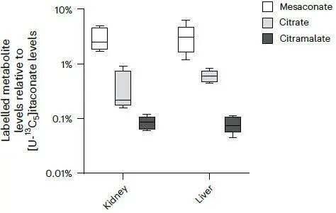
此外,作者对衣康酸、中康酸、柠康酸、柠苹酸的转化进行了定量,结果表明约5%转化为中康酸,1%转化为柠康酸、柠苹酸。

总之,本文利用13C衣康酸示踪的方式研究了衣康酸的动态周转过程,证明大部分血液中的衣康酸通过肾脏代谢,此外还被组织吸收,在肝脏肾脏的线粒体中代谢。
本文作者:WYJ
责任编辑:LYC
DOI:10.1038/s42255-025-01363-1
原文链接:https://doi.org/10.1038/s42255-025-01363-1

目前评论: